꺼내먹는지식 준
정규분포 확률밀도함수 유도 본문
정규분포의 확률밀도함수 유도정도는 이해하고 있어야 추후 여러 수학 공식 이해가 쉬울 것으로 보인다.
https://www.youtube.com/watch?v=sFMjrnI93b4
아래와 같은 과녁 중심을 향해 화살을 쏜다고 가정하자.

목표가 과녁 중심이기에 아래가 성립한다.
1. 과녁의 중심에서 멀어지면 확률이 낮다.
2. 중심에서 거리가 같은 곳에 맞출 확률은 같다.
3. x좌표와 y좌표는 독립적이다.

x, y 좌표에 의해 확률이 정해지므로
$f(x,y)$ : (빨간 점에 맞을 확률)
(x, y는 서로 독립이므로)
$f(x,y) = f(x \cap y) = f(x)f(y)$

과녁을 중심으로 같은거리의 점들은 모두 맞을 확률이 같으므로,
반지름 r 만으로 확률이 정해진다.
빨간점에 맞을 확률: $g(r)$

(x, y는 서로 독립이므로)
$f(x,y) = f(x\cap y) = f(x)f(y)$
$x = r \cos \theta$
$y = r \sin \theta$
$f(x,y) = f(x)f(y) = g(r)$
확률 밀도함수를 구하기 위한 식
$$f(x,y) = f(x)f(y) = g(r)$$
$x = r \cos \theta \rightarrow \frac{\partial x}{\partial \theta} = -r \sin \theta $
$y = r \sin \theta \rightarrow \frac{\partial y}{\partial \theta} = r \cos \theta$
확률 밀도함수를 구하기 위한 식을 $\theta$ 에 대해 미분하면,
※곱의 미분
$\{f(x)g(x)\}' = f'(x)g(x) + f(x)g'(x)$
$$ 0 = \frac{\partial f(x)}{\partial \theta} \times f(y) + f(x) \times \frac{\partial f(y)}{\partial \theta}$$
$$= \frac{\partial f(x)}{\partial x} \times \frac{\partial x}{\partial \theta} \times f(y) + f(x) \times \frac{\partial f(y)}{\partial y} \times \frac{\partial y}{ \partial \theta}$$
$$ 0 = f'(x) \times (-r \sin \theta) \times f(y) + f(x) \times f'(y) \times r \cos \theta$$

모든 x,y 에 대해서 이 등식이 성립해야 하므로 이 값은 상수밖에 될 수 없다.
※ $(\ln (x))' = \frac{1}{x} $
합성함수 미분
$(\ln(|f(x)|))' = \ln'(f(x))(f(x))' = f'(x) \times \frac{1}{f(x)} = \frac{f'(x)}{f(x)}$


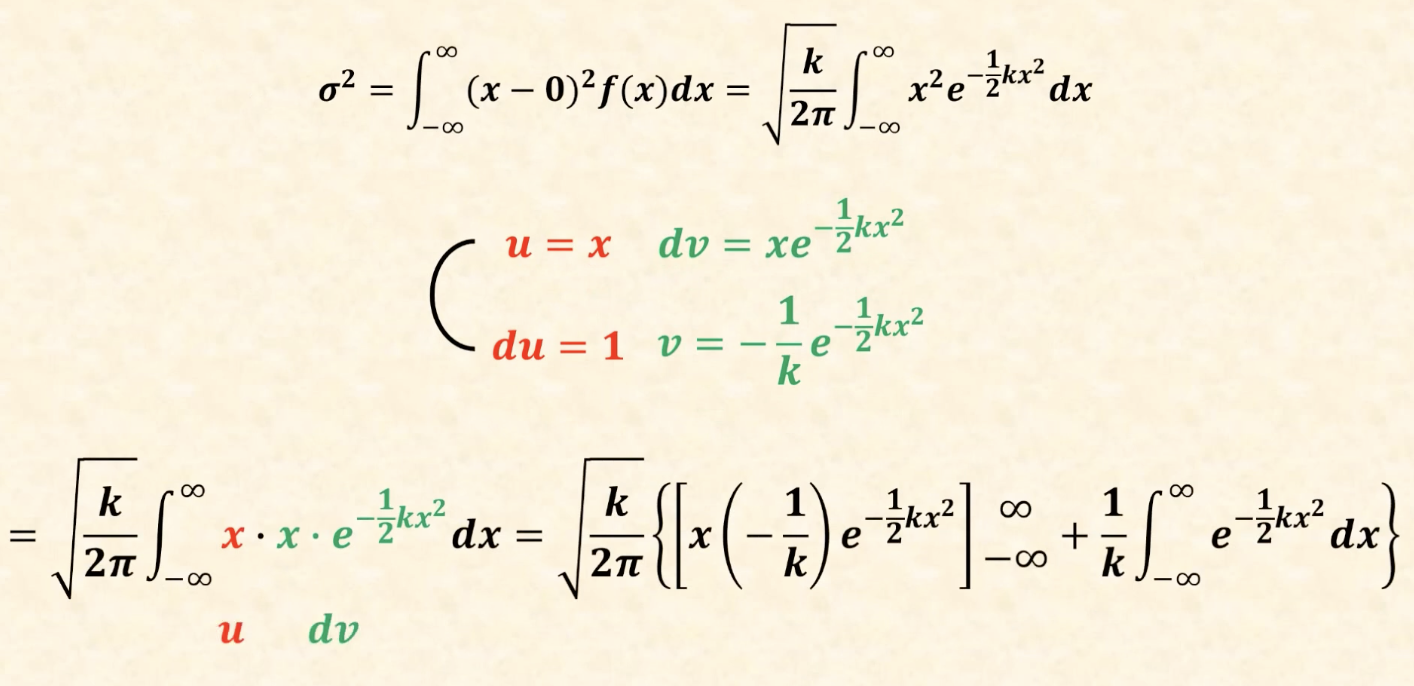
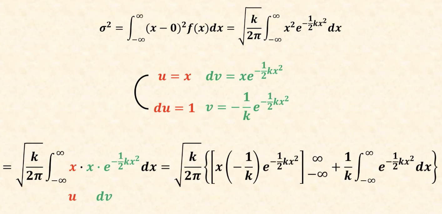
$$A = \sqrt{\frac{k}{2 \pi}}$$
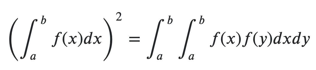
적분 제곱










'AI > AI 수학' 카테고리의 다른 글
| 벡터의 외적 (1) | 2022.11.04 |
|---|---|
| 아핀 공간 (0) | 2022.11.04 |
| ln (x-1) 의 미분 (2) | 2022.08.28 |
| 베이즈 통계학 간단정리 (0) | 2022.01.21 |
| 통계학 간단정리 (0) | 2022.01.21 |