꺼내먹는지식 준
벡터 간단 정리 본문
벡터
1차원 공간: 점
2차원 공간: 좌표평면의 점
3차원 공간: x,y,z 공간에서의 한 점이다.
벡터는 원점으로부터 상대적 위치를 표현한다.
벡터에 숫자를 곱해주면 길이만 변한다. (스칼라곱)
곱하는 대상이
1보다 크면, 길이가 늘어나고
1보다 작으면 줄어들고
음수면 방향이 바뀐다.
벡터는 숫자를 원소로 가지는 리스트 또는 배열이다.
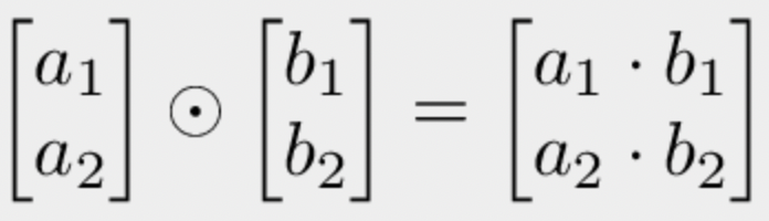
같은 형태일 때, 덧셈 뺄셈(-벡터의 덧셈), 성분 곱이 가능하다.
성분 곱(hadamard product, elementwise product):

벡터의 노름(norm): 원점으로부터의 거리
norm 은 L1, L2 총 두가지의 종류가 있다.
norm은 임의의 차원에서 성립하고 구성 성분 원소의 개수 상관없이 거리 계산이 가능하다.
L1: 각 성분의 변화량의 절대값을 모두 더한 값.
\[x = [x_{1}, x_{2}... x_{d}]^{T}\]
\[||x||_{1} = \sum_{i=1}^{d}|x_{i}|\]
L2: 피타고라스 정리를 이용해 유클리드 거리를 계산한 값.
\[x = [x_{1}, x_{2}... x_{d}]^{T}\]
\[||x||_{2} = \sqrt{\sum_{i=1}^{d}|x_{i}|^{2}} \]
\[ ||x_{2}|| := \sqrt{x^{2}_{1}+ ... + x^{2}_{n}} \]

즉, 두 벡터간의 거리를 구한다고 하면
L1 norm \[ d_{1}(p,q) = ||p-q||_{1} = \sum_{i=1}^{n}|p_{i}-q_{i}| \]
\[ ||y-x|| = ||x-y|| \]
L2 norm \[ d_{2}(p,q) = ||p-q||_{2} = \sum_{i=1}^{n}(p_{i}-q_{i})^{2} \]
\[ ||y-x||_{2} = ||x-y||_{2} \]
L2 norm 을 이용하면 두 벡터간의 거리로 각도도 계산해볼 수 있다.
두 norm 은 거리에 대한 두개의 다른 개념이다.
L2 norm은 최적의 거리를 유지하다보니 원이되는 반면, L1 은 다른 기하학적 성질을 가진다.


이 두 기하학적 성질의 차이로 인해, 학습 시 차이가 발생한다.
기계 학습 목적에 따라 다르게 사용된다고 한다.
L2 norm 은 두 벡터 사이의 거리를 이용하여 각도 계산도 가능하다.

제 2 코사인 법칙
\[cos\theta = \frac{||x||_{2}^{2} + ||y||_{2}^{2} - ||x-y||^{2}_{2}}{2||x||_{2}||y||_2}\]
벡터의 내적: 두 벡터 원소들의 성분곱을 취한 후, 모두 더해주는 것.
두 벡터 사이의 각도 = 내적 / L2 norm
내적은 정사영된 벡터의 길이와 관련이 있다.


내적은 정사영 된 벡터를 y의 길이만큼 조정한 값이라고 한다.
내적은 두 벡터간의 유사도를 측정하는데 많이 사용된다. 즉 두 데이터의 패턴이 얼마나 유사한가 확인할 때 사용된다.
추후 수악 중독 내적 부분 보고 점검.
'AI > 딥러닝 기초' 카테고리의 다른 글
| 딥러닝 역사, 기본 및 용어 (0) | 2022.02.07 |
|---|---|
| Multi_GPU, 분산 학습, 데이터 병렬화, 파라미터서버 (0) | 2022.01.28 |
| 딥러닝 학습모델 간단 정리 (0) | 2022.01.23 |
| 경사하강법 간단정리 (0) | 2022.01.20 |
| 행렬 간단 정리 (0) | 2022.01.19 |