꺼내먹는지식 준
[백준] - BFS 특정 거리의 도시 찾기 본문
특정 거리의 도시 찾기
어떤 나라에는 1번부터 N번까지의 도시와 M개의 단방향 도로가 존재한다. 모든 도로의 거리는 1이다.
이 때 특정한 도시 X로부터 출발하여 도달할 수 있는 모든 도시 중에서, 최단 거리가 정확히 K인 모든 도시들의 번호를 출력하는 프로그램을 작성하시오. 또한 출발 도시 X에서 출발 도시 X로 가는 최단 거리는 항상 0이라고 가정한다.
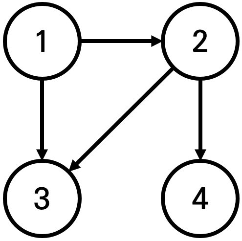
예를 들어 N=4, K=2, X=1일 때 다음과 같이 그래프가 구성되어 있다고 가정하자.

이 때 1번 도시에서 출발하여 도달할 수 있는 도시 중에서, 최단 거리가 2인 도시는 4번 도시 뿐이다. 2번과 3번 도시의 경우, 최단 거리가 1이기 때문에 출력하지 않는다.
입력
첫째 줄에 도시의 개수 N, 도로의 개수 M, 거리 정보 K, 출발 도시의 번호 X가 주어진다. (2 ≤ N ≤ 300,000, 1 ≤ M ≤ 1,000,000, 1 ≤ K ≤ 300,000, 1 ≤ X ≤ N) 둘째 줄부터 M개의 줄에 걸쳐서 두 개의 자연수 A, B가 공백을 기준으로 구분되어 주어진다. 이는 A번 도시에서 B번 도시로 이동하는 단방향 도로가 존재한다는 의미다. (1 ≤ A, B ≤ N) 단, A와 B는 서로 다른 자연수이다.
출력
X로부터 출발하여 도달할 수 있는 도시 중에서, 최단 거리가 K인 모든 도시의 번호를 한 줄에 하나씩 오름차순으로 출력한다.
이 때 도달할 수 있는 도시 중에서, 최단 거리가 K인 도시가 하나도 존재하지 않으면 -1을 출력한다.
예제 입력 1 복사
4 4 2 1
1 2
1 3
2 3
2 4
예제 출력 1 복사
4
여러모로 유의할 부분이 많았던 문제이다.
1) 시작점이 1이 아닐 수 있다.
2) 출력시 오름차순으로 하나씩 해야한다.
사실 대부분의 최단 거리 문제들이 이와 같을 수 있는데, 문제 푼 경험이 별로 없어서 한 삽질 같다.
주의하자.
3) 최단 거리를 찾는 문제에서는 DFS 는 사용 불가능하다.
DFS 는 깊이 우선 탐색 과정에서 특정 노드를 먼저 방문해버릴 가능성이 있다. 그렇게 되면, 해당 노드로부터 다른 노드까지의 최단 거리가 미리 업데이트 되어 실제로는 최단이 아닌 거리가 반영될 가능성이 있다. (뭐 전체를 매번 돌아보게 한다면 가능하겠지만 이는 너무 너무 비효율적이다.)
따라서 최단 거리에서는 BFS 를 사용해야 하나, 최단 거리에서 BFS 의 경우 사용할 수 있는 경우도 한정이 되어있다.
1. undirected graph 인 경우
2. weight 가 고정값인 경우
그 외에는 다익스트라로 풀어야한다.
시간이 나면 아래글들을 읽어보자.
[그래프] 27. BFS로 찾은 경로가 최단 경로인 이유
BFS 알고리즘을 이용한 predecessor 방식이 진짜 최단 경로가 맞는지 어떻게 확신할 수 있을까? 이번 장에서는 증명해보겠다. 이것을 이해하기
nulls.co.kr
최단거리 문제 알고리즘에 대한 궁금증 정리
DFS, BFS와 다익스트라 알고리즘에 대한 여러가지 의문점
jypthemiracle.medium.com
'코딩테스트총정리' 카테고리의 다른 글
| [백준] - 이진탐색 공유기 설치 (0) | 2022.09.07 |
|---|---|
| [백준] - DFS 연산자 끼워넣기 (0) | 2022.09.01 |
| 백준 - 구현 뱀 (0) | 2022.08.26 |
| [프로그래머스] 구현 - 자물쇠와 열쇠 (0) | 2022.08.24 |
| 구현 - 문자열 압축 (0) | 2022.08.23 |